कोरबा-नेताजी सुभाष चंद्र बोस(इतवारी)-कोरबा के मध्य चैत्र नवरात्रि मेला मेमू पैसेंजर स्पेशल ट्रेन का परिचालन
रायपुर, 19 मार्च चैत्र नवरात्रि मेला पर ट्रेनों में यात्रियों की होने वाली अतिरिक्त भीड़ को ध्यान में रखते हुये उन्हें सुगम व निर्बाध यात्रा सुविधा उपलब्ध कराने हेतु कोरबा-नेताजी सुभाष चंद्र बोस(इतवारी)-कोरबा के मध्य चैत्र नवरात्रि मेला स्पेशल ट्रेन का परिचालन 23 मार्च से 28 मार्च 2026 तक प्रतिदिन किया जा रहा था। यात्रियों की सुविधा को ध्यान में रखते हुए गाड़ी संख्या 06883/06884 नेताजी सुभाष चंद्र बोस(इतवारी)-कोरबा- नेताजी सुभाष चंद्र बोस(इतवारी) फेस्टिवल मेमू स्पेशल के परिचालन में गाड़ी का ठहराव दोनों दिशाओं में सभी प्रमुख एवं लोकल स्टेशनों पैसेंजर हॉलट में दिया गया है, इससे नवरात्रि मेला के लिए डोंगरगढ़ जाने वाले यात्रियों को अच्छी सुविधा मिलेगी। नवरात्रि मेला पर्व पर यात्रियों को 19 मार्च से 27 मार्च 2026 तक गोंदिया दुर्ग गोंदिया मेमू पैसेंजर का रायपुर तक विस्तार रायपुर डोंगरगढ़ रायपुर मेमू पैसेंजर का गोंदिया तक विस्तार एवं डोंगरगढ़ दुर्ग डोंगरगढ़ के मध्य अतिरिक्त मेमू पैसेंजर स्पेशल ट्रेन की सुविधा के साथ 10 एक्सप्रेस ट्रेनों का ठहराव डोंगरगढ़ स्टेशन में दिया गया है।
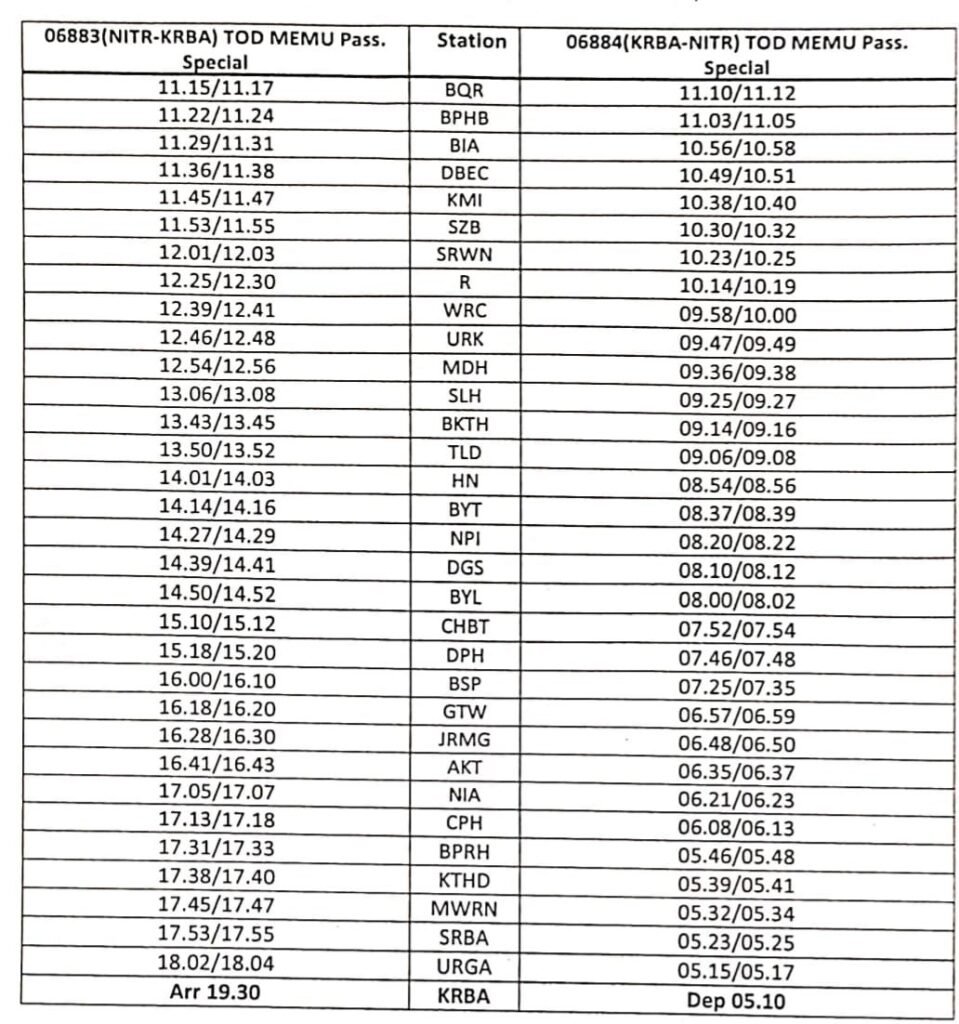
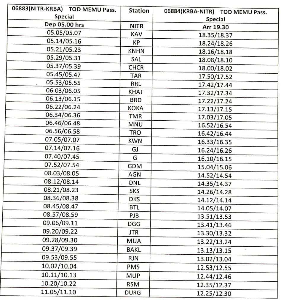
गाड़ी संख्या 06883 नेताजी सुभाष चंद्र बोस(इतवारी)-कोरबा मेमू, नेताजी सुभाष चंद्र बोस(इतवारी) स्टेशन से प्रतिदिन सुबह 05 बजे रवाना होकर दुर्ग स्टेशन पर 11:05 बजे, रायपुर स्टेशन पर 12:25 बजे, तिल्दा नेवरा स्टेशन पर 13.50 बजे, भाटापारा स्टेशन पर 14-14 बजे बिलासपुर स्टेशन पर 16.00 बजे
तथा 19.30 बजे कोरबा स्टेशन पहुंचेगी | इसी प्रकार गाड़ी संख्या 06884 कोरबा- नेताजी सुभाष चंद्र बोस(इतवारी) मेमू, कोरबा स्टेशन से प्रतिदिन सुबह 05.10 बजे रवाना होकर बिलासपुर 7:25 बजे, भाटापारा 8.37 बजे, तिल्दा नेवरा 9:06 बजे, रायपुर 10.14 बजे, दुर्गा 1225 बजे गोंदिया 16.00 बजे, तथा 19.30 बजे नेताजी सुभाष चंद्र बोस(इतवारी) स्टेशन पहुंचेगी |
इस गाड़ी की समय सारिणी इस प्रकार है – 👇




